Patterns of changes in the fluorescence of nadh and fad coenzymes and their relationship in skeletal muscle in the early post-mortem period (an experimental study)
- Authors: Babkina A.S.1,2, Sundukov D.V.1, Golubev A.M.1,2
-
Affiliations:
- Department of Forensic Medicine, Medical Institute, Peoples’ Friendship University of Russia
- V.A. Negovsky Scientific Research Institute of General Reanimatology
- Issue: Vol 6, No 3 (2020)
- Pages: 12-19
- Section: Original study articles
- Submitted: 03.09.2020
- Accepted: 14.09.2020
- Published: 23.10.2020
- URL: https://for-medex.ru/jour/article/view/318
- DOI: https://doi.org/10.19048/fm318
- ID: 318
Cite item
Full Text
Abstract
Background. The paper presents changes and mathematical models of autofluorescence of reduced nicotinamide adenine dinucleotide (NADH) and flavin adenine dinucleotide (FAD) and their redox ratio (RR) in rat skeletal muscle during the first 24 hours after death. Aim. To establish a pattern of change in the fluorescence intensity of NADH and FAD coenzymes, as well as their relationship in skeletal muscle during the first 24 hours after death using mathematical modeling. Material and methods. The experiment was performed on Sprague Dawley rats. The fluorescence intensity of FAD and NADH coenzymes in skeletal muscle was measured in situ in living rats under general anesthesia, 5 minutes after euthanasia, and at intervals of 1.5–3 h during the 24-hour postmortem period. To estimate the fluorescence intensity of NADH and FAD coenzymes and to calculate the RR, a Lasma MC-3 fluorescence measuring device with special software was used. The obtained data were analyzed by non-linear regression analysis. The summary, accuracy estimation, and significance of the regression equation coefficients were assessed using SigmaPlot 10.0 software. The significance of the regression model was tested using the Fisher F-criterion. Results. During the first 3 hours of the postmortem period, an increase in the mean values of RR and NADH fluorescence was detected; starting from 4.5 and lasting until 24 hours post mortem, their gradual decrease was observed. The relationship between NADH, RR, and time since death is characterized by the Weibull equation. The statistical significance of the NADH and RR models, based on the obtained equations, was considered high. Conclusion. The analysis of the obtained data allowed us to create mathematical models describing the relationship between RR and NADH fluorescence intensity and time after death, which confirms the non-randomness and regularity of the discovered patterns.
Keywords
Full Text
ВВЕДЕНИЕ
Проблема определения давности наступления смерти (ДНС) является одной из основных в науке и практике судебной медицины. Начиная с середины двадцатого века, когда в судебно-медицинской танатологии стали активно использоваться биохимические, биофизические, физические методы, по настоящее время отечественными и зарубежными исследователями интенсивно разрабатываются и совершенствуются методы определения ДНС. К сожалению, большинство разработанных методов, позволяющих с высокой точностью определить ДНС, так и не были внедрены в экспертную практику, что обусловлено зачастую сложностью исполнения, их дороговизной или отсутствием серийных приборов [1]. Однако трудности внедрения в практику полученных результатов и новых методов нисколько не обесценивают исследования в данной области, так как изучение темпов посмертных изменений в органах, тканях, клетках позволяет выяснить, уточнить механизмы умирания и дезорганизации биологических структур и их функций, что имеет большое значение в клинической и фундаментальной медицине. В. Н. Крюков отмечал значимость результатов исследований «ранних посмертных изменений с помощью современных лабораторных методов … для трансплантологов, реаниматологов, патофизиологов, биохимиков и представителей других медицинских специальностей» [2]. Разработка методов определения ДНС в раннем постмортальном периоде находится в тесной связи с изучением устойчивости тканей к гипоксии и аноксии, а также механизмов и закономерностей тканевого метаболизма в условиях аноксии. Следовательно, посмертные процессы, происходящие в тканях, должны рассматриваться не только в прикладном аспекте, но и в фундаментальном.
Новым направлением, разрабатываемым в настоящее время кафедрой судебной медицины РУДН совместно с НИИ общей реаниматологии В. А. Неговского Федерального научно-клинического центра реаниматологии и реабилитологии, является изучение закономерностей посмертного метаболизма в переживающих тканях методом лазериндуцированной спектроскопии. Использование интенсивности аутофлуоресценции коферментов НАДН и ФАД в ультрафиолетовом и синем спектрах соответственно, а также их отношение в качестве маркеров окислительно-восстановительных процессов обусловлено множеством исследований в области биологии, клинической и фундаментальной медицины, которые доказали возможность использования показателей аутофлуоресценции внутриклеточных коферментов с целью оценки метаболической и митохондриальной активности [3–5]. Выбор метода лазериндуцированной спектроскопии продиктован простотой использования, а также возможностью проводить исследование in situ, не изымая и не подготавливая ткань.
Ранее в результате проведенного нами экспериментального исследования была выявлена зависимость интенсивности флуоресценции коферментов НАДН, ФАД и редокс-отношения в скелетной мышце от времени после смерти [6].
Цель исследования — обоснование закономерности изменения интенсивности флуоресценции коферментов НАДН, ФАД и их отношения в скелетной мышце в первые сутки после смерти с помощью математического моделирования.
МАТЕРИАЛ И МЕТОДЫ
Эксперимент проведен на самцах и самках крыс линии Sprague Dawley (n = 30) с массой 250–300 г в соответствии с требованиями Директивы 2010/63/EU Европейского парламента и Совета Европейского союза по охране животных, используемых в научных целях. Протокол проведения эксперимента был одобрен Локальным биоэтическим комитетом ФНКЦ РР. Перед проведением исследования животные находились в одинаковых условиях. Эвтаназию осуществляли цервикальной дислокацией под общей анестезией хлоралгидратом. Трупы животных находились при комнатной температуре.
Измерения интенсивности флуоресценции коферментов ФАД и НАДН проводились при жизни под общей анестезией хлоралгидратом, через 5 мин после смерти, каждые 1,5 ч или 3 ч (в случае необходимости перерыва в работе аппарата) в течение 24 ч посмертного периода. Для оценки интенсивности флуоресценции коферментов НАДН и ФАД использовали лазерный диагностический аппарат «Лазма МЦ-3» (ООО НПП «Лазма», Россия, № РЗН 2015/3142 от 29.10.2015) с зондирующем излучением с длиной волны 365 нм (UV) и 450 нм (B) с программным обеспечением. Доступ к мышце бедра крысы обеспечивали через разрез кожи длиной 1 см, устанавливали волоконно-оптический зонд анализатора коферментов на участок поверхности скелетной мышцы. Измерение исследуемых показателей проводилось в течение 4 мин у каждого животного.
Показатели флуоресценции НАДН, ФАД, РО были автоматически рассчитаны программным обеспечением к аппарату «Лазма МЦ-3» (ООО НПП «ЛАЗМА», Москва), зафиксированы и сохранены в ПК.
Полученные данные анализировали методом нелинейного регрессионного анализа. Вывод, оценку точности и значимость коэффициентов уравнения регрессии проводили с использованием программы SigmaPlot 10.0. Проверку значимости модели регрессии проводили с использованием F-критерия Фишера. Анализ коэффициентов регрессионной модели проводили с использованием критерия Стьюдента.
РЕЗУЛЬТАТЫ
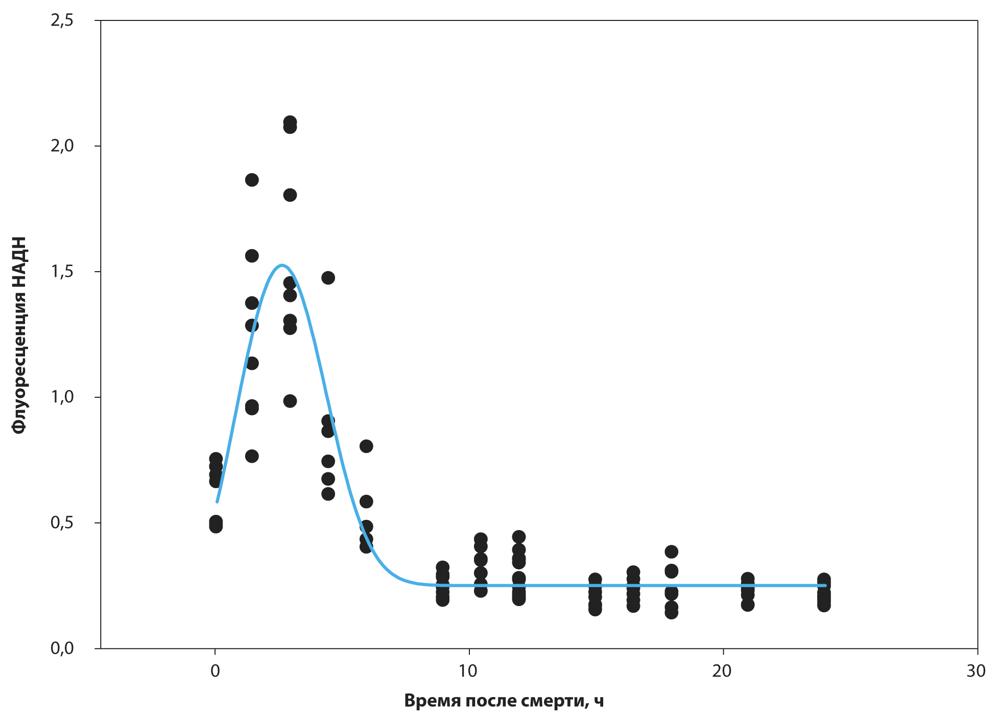
Возрастание средних значений показателей флуоресценции НАДН было отмечено с 5-й мин посмертного периода. Пик флуоресценции отмечался в 3 ч, а с 4,5 до 24 ч — постепенное снижение. Средние значения интенсивности флуоресценции ФАД менялись незначительно, с 9 до 24 ч была отмечена тенденция к возрастанию (рис. 1).
Рис. 1. Зависимость интенсивности флуоресценции коферментов НАДН и ФАД от времени после смерти
Примечание: значения показателей представлены в виде средних значений и стандартных ошибок среднего.
Анализ изменения средних значений показателя флуоресценции НАДН в зависимости от времени после смерти позволил предположить, что обнаруженная зависимость описывается уравнением Вейбулла (уравнение 1) или логнормальным уравнением (уравнение 2). В результате анализа для построения зависимости было выбрано уравнение 1, так как оно давало большую точность приближения (R 2 = 0,77, F(4,109) = 87,4, р < 0,001) по сравнению с уравнением 2 (R 2 = 0,70, F(2,109) = 123,3, р < 0,001).
, (уравнение 1)
где y — величина показателя НАДН; x — время после смерти, ч; а, b, c, y0 и x0 — коэффициенты уравнения регрессии.
, (уравнение 2)
где y — величина показателя НАДН; x — время после смерти, ч; а, b, y0 и x0 — коэффициенты уравнения регрессии.
Анализ остатков предварительно построенной регрессионной модели на основании уравнения 1 позволил исключить из выборки 4 наблюдения, абсолютные значения которых превышали 3.
По результатам анализа была построена модель, описывающая зависимость флуоресценции НАДН от времени после смерти на основании уравнения 1 (рис. 2).
Рис. 2. Математическая модель динамики интенсивности флуоресценции НАДН в первые сутки после смерти
Коэффициент детерминации (R 2) полученной регрессионной модели составил 0,85, стандартная ошибка модели — 0,17, то есть полученное уравнение описывало анализируемую зависимость достаточно точно. Оценка статистической значимости полученного уравнения на основании критерия Фишера при эмпирическом значении критерия Фишера F = 146,3 и числах степеней свободы 4 и 105 составила р < 0,001. Таким образом, полученное уравнение было статистически значимым, то есть характеризовало зависимость в генеральной совокупности.
Коэффициенты полученной модели были статистически значимыми по критерию Стьюдента (табл. 1).
Таблица 1. Результаты анализа статистической значимости коэффициентов регрессионной модели зависимости флуоресценции НАДН от времени после смерти
Table 1. Results of statistical significance analysis of regression equation coefficients of mathematical models describing the relationship between NADH fluorescence intensity and time after death
Коэффициент | Значение коэффициента | Стандартная ошибка | Значение критерия Стьюдента (t) | Уровень значимости (р) |
a | 1,27 | 0,06 | 21,99 | < 0,0001 |
b | 4,53 | 0,72 | 6,28 | < 0,0001 |
c | 2,81 | 0,54 | 5,19 | < 0,0001 |
x0 | 2,64 | 0,14 | 18,69 | < 0,0001 |
y0 | 0,25 | 0,02 | 11,96 | < 0,0001 |
Значения интенсивности флуоресценции ФАД мало изменялись в течение всего времени исследования, поэтому подобрать модель не представлялось возможным.
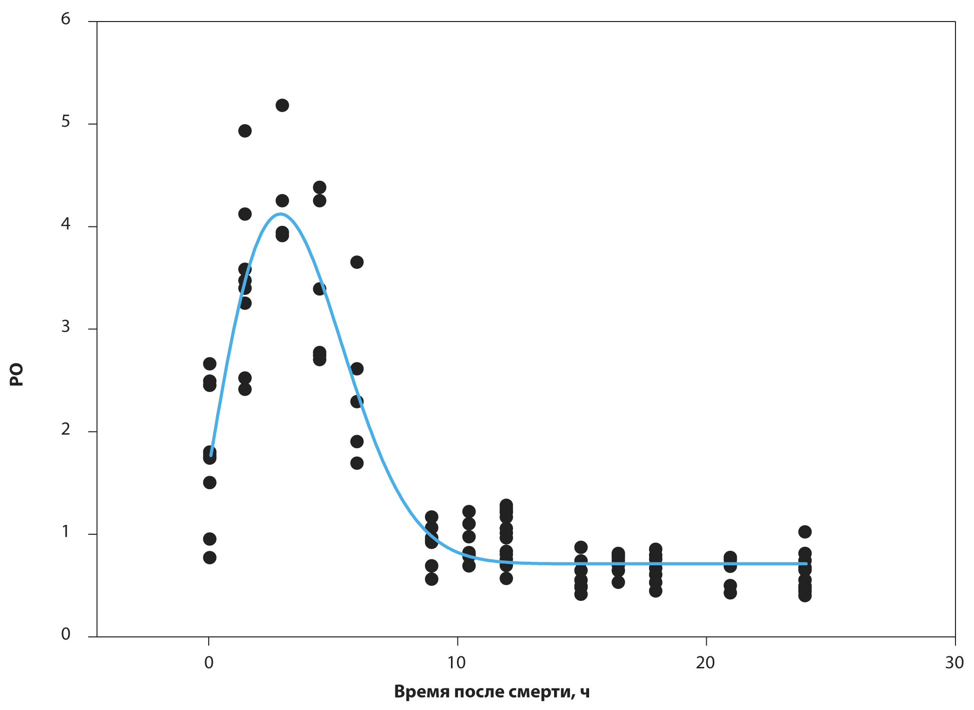
Возрастание отношения коэффициентов флуоресценции НАДН к ФАД (редокс-отношение, РО) было зарегистрировано с 5-й минуты до 3 ч посмертного периода включительно. Начиная с 4,5 до 24 ч наблюдалось постепенное снижение РО (рис. 3).
Рис. 3. Зависимость РО от времени после смерти
Примечание: значения показателей представлены в виде средних значений и стандартных ошибок среднего.
Анализ изменения средних значений показателя РО в зависимости от времени после смерти более точно описывается уравнением 1, где y — величина показателя РО; x — время после смерти, ч; а, b, c, y0 и x0 — коэффициенты уравнения регрессии, так как оно давало большую точность приближения (R 2 = 0,79, F(4,109) = 97,0, р < 0,001) по сравнению с уравнением 2 (R 2 = 0,65, F(2,109) = 101,3, р < 0,001).
Анализ нормированных остатков обнаружил 6 значений, модуль нормированного остатка которых превышал 3. Эти значения были исключены из дальнейшего анализа.
В итоге на основании уравнения 1 была построена модель, описывающая зависимость изменения значений показателя РО от времени после смерти, представленная графически на рис. 4.
Рис. 4. Математическая модель динамики РО в первые сутки после смерти
Коэффициент детерминации (R 2) полученной регрессионной модели составил 0,86, стандартная ошибка модели — 0,43, то есть полученное уравнение зависимости РО от времени после смерти является достаточно точным. Оценка статистической значимости полученного уравнения на основании критерия Фишера при эмпирическом значении критерия Фишера F = 173,5 и числах степеней свободы 4 и 103 составила р < 0,001. Таким образом, полученное уравнение было статистически значимым, то есть характеризовало зависимость в генеральной совокупности.
Коэффициенты полученной модели были статистически значимыми по критерию Стьюдента (табл. 2).
Таблица 2. Результаты анализа статистической значимости коэффициентов регрессионной модели зависимости РО от времени после смерти
Table 2. Results of statistical significance analysis of regression equation coefficients of mathematical models describing the relationship between RR and time after death
Коэффициент | Значение коэффициента | Стандартная ошибка | Значение критерия Стьюдента (t) | Уровень значимости (р) |
a | 3,41 | 0,14 | 23,94 | < 0,0001 |
b | 4,87 | 0,32 | 15,39 | < 0,0001 |
c | 2,08 | 0,23 | 9,16 | < 0,0001 |
x0 | 2,88 | 0,16 | 17,52 | < 0,0001 |
y0 | 0,71 | 0,06 | 12,54 | < 0,0001 |
ОБСУЖДЕНИЕ
Выявленная закономерность обусловлена воздействием гипоксии/аноксии на внутриклеточный метаболизм, переходом клеток на анаэробное дыхание в раннем постмортальном периоде. Полученные нами данные не противоречат результатам исследований коферментов НАДН и ФАД при тканевой ишемии. С момента открытия в 1950 году способности к аутофлуоресценции восстановленного НАДН было проведено множество исследований интенсивности аутофлуоресценции кофермента в тканях в условиях кислородного голодания [7–9]. Большинство работ были и остаются экспериментальными и касаются только кратковременной ишемии. В исследовании F. H. Tomlinson было обнаружено, что ишемия мозга сопровождается увеличением флуоресценции NADH на 150% через 15 мин после окклюзии сонной артерии [8]. Horvath и соавт. была изучена динамика лазериндуцированной флуоресценции НАДН и ФАД в тканях миокарда при окклюзии в течение 2 ч ишемии, которая характеризовалась в первые 5 мин быстрым ростом флуоресценции НАДН и медленным спадом до конца исследования, уменьшением аутофлуоресценции ФАД в первые 5 мин, медленным спадом в течение 30 мин, стационарным уровнем в течение 1 ч и медленным подъемом до окончания исследования [10]. Из этого следует, что характер изменений показателей интенсивности флуоресценции НАДН и ФАД, выявленных нами, схож с характером изменений, полученных при исследовании ишемизированного миокарда, но процесс имеет разные темпы. Возможно, это связано с разной устойчивостью различных тканей к гипоксии. Увеличение аутофлуоресценции НАДН легко объясняется накоплением восстановленного НАДН в отсутствии кислорода [11]. Также известно, что на аутофлуоресценцию коферментов влияет их связь с белком: НАДН флуоресцирует в связанной с белком форме, а ФАД — в свободной [11–13]. Исходя из этого можно предположить, что угасание аутофлуоресценции НАДН и тенденция к возрастанию в конце исследования ФАД связаны с распадом связей коферментов с белками в результате аутолитических процессов.
ЗАКЛЮЧЕНИЕ
В результате проведенного исследования была выявлена закономерность изменения флуоресценции НАДН, РО и описана уравнением, по которому была создана математическая модель. Зависимость НАДН и РО от времени после смерти, характеризуется уравнением Вейбулла:
,
где y — величина показателя НАДН или РО; x — время после смерти, ч; а, b, c, y0 и x0 — коэффициенты уравнения регрессии. На основании полученных уравнений были построены математические модели. Статистическая значимость моделей НАДН (R 2 = 0,85, F(4,105) = 146,3, р < 0,001) и РО (R 2 = 0,86, F(4,103) = 173,5, р < 0,001) оказалась высокой. Возможность математического описания наблюдаемых изменений и полученная высокая точность моделей обусловливают дальнейшие перспективы использования исследуемых показателей как маркеров изменения тканевого метаболизма в различные сроки после смерти. Полученные результаты уточняют механизмы внутриклеточных процессов в условиях длительной аноксии, в процессе умирания тканей, а также представляют возможность использования метода флуоресцентной лазериндуцированной спектроскопии для диагностики давности наступления смерти, создают предпосылки для изучения и моделирования процессов, выявленных нами в эксперименте, на трупах людей.
About the authors
Anastasia S. Babkina
Department of Forensic Medicine, Medical Institute, Peoples’ Friendship University of Russia; V.A. Negovsky Scientific Research Institute of General Reanimatology
Author for correspondence.
Email: asbabkina@gmail.com
ORCID iD: 0000-0003-1780-9829
a post-graduate student of the Department of Forensic Medicine of Peoples’ Friendship University, researcher of the Cell Pathology Laboratory at the Critical Conditions of the V. A. Negovsky Scientific Research Institute of General Reanimatology
Russian Federation, MoscowDmitriy V. Sundukov
Department of Forensic Medicine, Medical Institute, Peoples’ Friendship University of Russia
Email: sundukov.1958@mail.ru
ORCID iD: 0000-0001-8173-8944
Dr. Sci. (Med.), Associate Professor, Head of Forensic Medicine Department of Peoples’ Friendship University
Russian Federation, MoscowArkady M. Golubev
Department of Forensic Medicine, Medical Institute, Peoples’ Friendship University of Russia; V.A. Negovsky Scientific Research Institute of General Reanimatology
Email: arkadygolubev@mail.ru
ORCID iD: 0000-0002-3165-0378
Dr. Sci. (Med.), Professor at the Department of Forensic Medicine of Peoples’ Friendship University, Head of the Laboratory of Cell Pathology in Critical Conditions of the V. A. Negovsky Scientific Research Institute of General Reanimatology
Russian Federation, MoscowReferences
- Пашинян Г.А., Назаров Г.Н. Биофизические методы исследования в судебной медицине. Ижевск: Экспертиза, 1999. [Pashinyan G.A., Nazarov G.N. Biofizicheskie metody issledovaniya v sudebnoi meditsine. Izhevsk: Ekspertiza, 1999. (In Russ.)]
- Крюков В.Н., Бедрин Л.М., Томилин В.В. и др.; под ред. В.Н. Крюкова. Судебная медицина: Учебник; 3-е изд., перераб. и доп. М.: Медицина, 1990. [Krjukov V.N., Bedrin L.M., Tomilin V.V. i dr.; pod red. V.N. Krjukova. Sudebnaja meditsina: Uchebnik; 3-e izd., pererab. i dop. M.: Meditsina, 1990. (In Russ.)]
- Schaefer P.M., Kalinina S., Rueck A., von Arnim C.A.F., von Einem B. NADH Autofluorescence-A Marker on its Way to Boost Bioenergetic Research. Cytometry A. 2019;95(1):34–46. PMID: 30211978. https://doi.org/10.1002/cyto.a.23597
- Raghushaker C.R., Chandra S., Chakrabarty S., Kabekkodu S.P., Satyamoorthy K., Mahato K.K. Detection of mitochondrial dysfunction in vitro by laser-induced autofluorescence. J. Biophotonics. 2019;28:e201900056. PMID: 31251452. https://doi.org/ 10.1002/jbio.201900056
- Heikal A.A. Intracellular coenzymes as natural biomarkers for metabolic activities and mitochondrial anomalies. Biomark. Med. 2010;4(2):241–263. https://doi.org/10.2217/bmm.10.1
- Бабкина А.С., Сундуков Д.В., Голубев А.М., Рыжков И.А., Цоколаева З.И., Заржецкий Ю.В. Определение интенсивности флуоресценции коферментов НАДН и ФАД в скелетной мышце крысы в зависимости от давности наступления смерти. Судебно-медицинская экспертиза. 2020;63(1): 31–35. [Babkina A.S., Sundukov D.V., Golubev A.M., Ryzhkov I.A., Tsokolaeva Z.I., Zarzhetskiy Yu.V. Determination of the fluorescence intensity of coenzymes NADH and FAD in the skeletal muscle of the rat depending on the post-mortem interval. Sudebno-meditsinskaya ekspertiza. 2020;63(1):31–35. (In Russ.)]. https://doi.org/10.17116/sudmed20206301131
- Shehada R.E., Marmarelis V.Z., Mansour H.N, Grundfest W.S. Laser-induced fluorescence attenuation spectroscopy: detection of hypoxia. IEEE Trans. Biomed. Eng. 2000;47(3):301–312. PMID: 10743771 https://doi.org/10.1109/10.827290
- Салмин В.В., Салмина А.Б., Фурсов А.А., Фролова О.В., Лалетин Д.И., Фурсов М.А., Юдин Г.В., Малиновская Н.А., Зыкова Л.Д., Проворова А.С. Использование флуоресцентной спектроскопии для оценки ишемического повреждения миокарда. Journal of Siberian Federal University 2011;2(4): 142–157. [Salmin V.V., Salmina A.B., Fursov A.A., Frolova O.V., Laletin D.I., Fursov M.A., Yudin G.V., Malinovskaya N.A., Zykova L.D., Provorova A.S. Application of fluorescence spectroscopy for assesment of myocardial ischemic injury. Journal of Siberian Federal University. 2011;4(2):142–157. (In Russ.)]. https://doi.org/10.17516/1997-1389-0177
- Polesskaya O., Sun A., Salahura G., Silva J.N., Dewhurst S., Kasischke K. Detection of microregional hypoxia in mouse cerebral cortex by two-photon imaging of endogenous NADH fluorescence. J. Vis. Exp. 2012; (60). pii: 3466. https://doi.org/ 10.3791/3466
- Horvath K.A., Schomacker K.T., Lee C.C., Cohn L.H. Intraoperative myocardial ischemia detection with laser-induced fluorescence. J. Thorac. Cardiovasc. Surg. 1994;107(1):220–225. PMID: 8283889
- Monici M. Cell and tissue autofluorescence research and diagnostic applications. Biotechnol. Annu. Rev. 2005;11: 227–256. PMID: 16216779. https://doi.org/10.1016/S1387-2656(05)11007-2
- Векшин Н.Л. Флуоресцентная спектроскопия полимеров. Пущино: ООО «Фотон век», 2014. [Vekshin N.L. Fluorestsentnaya spektroskopiya polimerov. Pushchino: OOO «Foton vek», 2014. (In Russ.)]
- Лукина М.М., Ширманова М.В., Сергеева Т.Ф., Загайнова Е.В. Метаболический имиджинг в исследовании онкологических процессов (обзор). Современные технологии в медицине. 2016;8(4):113–128. [Lukina M.M., Shirmanova M.V., Sergeeva T.F., Zagaynova Е.V. Metabolical imaging for the study of oncological processes (review). Sovremennye tekhnologii v meditsine. 2016;8(4):113–121. (In Russ.)]. https://doi.org/10.17691/stm2016.8.4.16
Supplementary files












